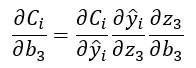
Si aplicamos el mismo proceso al cálculo de la derivada de la función de coste con respecto al bias b3, obtenemos el siguiente resultado:
Las ecuaciones que ligan unos valores con otras son exactamente las ya vistas:
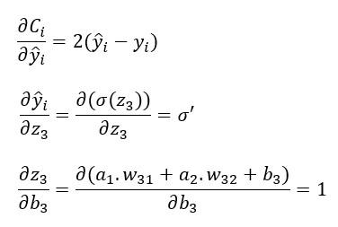
Tan solo cambia el cálculo de la derivada de z3 con respecto a b3, que es 1:
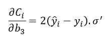
Es decir, la expresión final de la derivada de la función de coste es incluso más sencilla que en el caso del peso:



