La función VAR.S devuelve la varianza de una muestra de la población contenida en una columna.
VAR.S(
column
)
- column: Columna para cuyos valores se desea calcular la varianza.
La función VAR.S devuelve un número real.
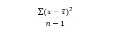
La función utiliza la siguiente fórmula:

...donde x̄ es el valor medio de x para la muestra de la población y n es el tamaño de la muestra. El uso de n-1 en lugar de n es la conocida como corrección de Bessel.
Las celdas vacías no son consideradas en el cálculo.
Si la columna contiene menos de dos celdas no vacías, la función devuelve un error.
Supongamos que tenemos el siguiente listado de ventas que incluye el número de items vendidos y su precio unitario:

Podemos calcular la varianza de los precios -suponiendo que se trata de una muestra de la población- con la siguiente medida:
Varianza = VAR.S(Ventas[Precio])
...que, llevada a una visualización tipo tarjeta, devuelve el siguiente resultado: